Tax Rates
View the current and past tax rates for the Township of Douro-Dummer. Tax rates are set annually based on your property tax class, assessment value and municipal budget.
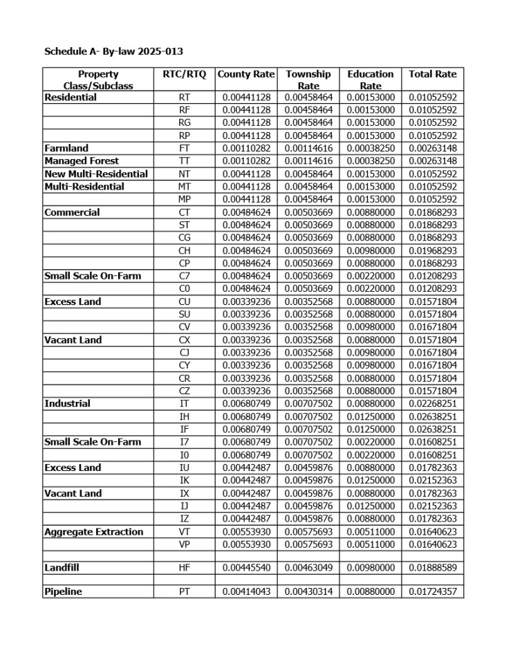
Current tax rates
The total rate is the sum of County, Township, and Education tax rates.
Click here to see a full breakdown of your 2025 tax rates.
Property Class / Subclass |
RTC / RTQ |
Total Rate |
| Residential | RT | 0.01052592 |
| RF | 0.01052592 | |
| RG | 0.01052592 | |
| RP | 0.01052592 | |
| Farmland | FT | 0.00263148 |
| Managed Forest | TT | 0.00263148 |
| New Multi-Residential | NT | 0.01052592 |
| Multi-Residential | MT | 0.01052592 |
| MP | 0.01052592 | |
| Commercial | CT | 0.01868293 |
| ST | 0.01868293 | |
| CG | 0.01868293 | |
| CH | 0.01968293 | |
| CP | 0.01868293 | |
| Small Scale On-Farm | C7 | 0.01208293 |
| C0 | 0.01208293 | |
| Excess Land | CU | 0.01571804 |
| SU | 0.01571804 | |
| CV | 0.01671804 | |
| Vacant Land | CX | 0.01571804 |
| CJ | 0.01671804 | |
| CY | 0.01671804 | |
| CR | 0.01571804 | |
| CZ | 0.01571804 | |
| Industrial | IT | 0.02268251 |
| IH | 0.02638251 | |
| IF | 0.02638251 | |
| Small Scale On-Farm | I7 | 0.01608251 |
| I0 | 0.01608251 | |
| Excess Land | IU | 0.01782363 |
| IK | 0.02152363 | |
| Vacant Land | IX | 0.01782363 |
| IJ | 0.02152363 | |
| IZ | 0.01782363 | |
| Aggregate Extraction | VT | 0.01640623 |
| VP | 0.01640623 | |
| Landfill | HF | 0.01888589 |
| Pipeline | PT | 0.01724357 |
Previous tax rates
2024 Tax Rates
2023 Tax Rates
2022 Tax Rates
2021 Tax Rates
To request the Tax Rates from a previous year or for more information please contact us.
Contact Us
Township of Douro-Dummer
Address: 894 South Street,
P.O. Box 92, Warsaw
Ontario, K0L 3A0
T. 705-652-8392
Toll Free: 1-800-899-8785
F. 705-652-5044
Sign up to our Newsletter
Stay up to date on the Township's activities, events, programs and operations by subscribing to our eNewsletters.
